当前页面:
首页
>
政务公开
>
重点领域信息公开
>
公共资源配置
>
征地拆迁
>
征地公告
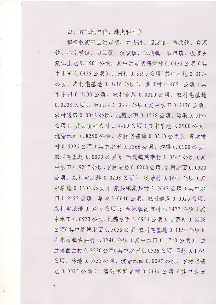
蒸政通【2015】23号征收土地公告
来源:
县国土局
时间:2018-08-27 10:37:56
【字体:
大
中
小】
相关阅读:
扫一扫在手机打开当前页